|
Колосов Е.А. математик-эффективщик – автор и разработчик «ЭКСПРЕСС МЕТОДИКИ оценки эффективности изделий МО на государственных испытаниях», КБТОЧМАШ им. А.Э. НУДЕЛЬМАНА, отдел эффективности. |
Программная
часть:
Колосов Е.А
Математическая часть
Колосов Е.А.
Медицинская часть: Колосов Е.А., Трофимов И.А., Черкасов В.А., к.м.н. Дробот
Н.Ц., Перегудов Н.А.
Редакция : Симонова К.С.
|
|
Москва 2023 год
Оглавление
Цель методики
|
Показать по этапам работу с инструментом регрессионно-факторного
анализа (РФА) в научном программном аналитическом комплексе PLANETA (ФАКТОР - ПРОГНОЗ). 1 раздел: Бесплатная сетевая СУБД нового поколения – от удобной
научной работы с таблицей научных данных на одном компьютере – до сетевой
работы организаций с неограниченным объёмом данных по сотовой схеме
распределения ресурсов по сети (устраняет фатальные проблемы Oracle, SQL –
ОГРОМНАЯ ЭКОНОМИЯ ВРЕМАНИ и СРЕДСТВ с возможностью максимальной аналитической
работы с данными вплоть до создания систем высокоточного прогноза);
|
Введение
|
Традиционные
однопараметрические доказательные методы типа достоверности разности групп
(по Фишеру, Стьюденту …) созданы для технических системных процессов, где
возможно соблюсти условие идентичности сравниваемых групп. |
Методы традиционной однопараметрической доказательной статистики (Стьюдент, Фишер …)
|
|
|
В биологических медицинских системных процессах рекомендуется использовать методы регрессионно-факторного анализа. Эти методы более информативны и проще в понимании и трактовке результата анализа и обладают свойством доказанности полученного результата на международном уровне. Кроме того, РФА работает на текущем рабочем материале и не требует дополнительных затрат на организацию экспериментов и создания специальных групп для исследований и доказательств. |
|
|
VIDEO DEMO VIDEO FULL + IMPORT BASE +
|
|
|
|
РЕГРЕССИОННО-ФАКТРОНЫЙ АНАЛИЗ КРАТКО
Регрессионный анализ всегда был инструментом доказательства на международном уровне для научного подтверждения различных ГИПОТИЗ – в техническом, медицинском ВАКе найденная весовая функция влияния параметров процесса на результат полученная математическим методом регрессионного анализа классифицируется как элемент открытия на защиту ученой степени доктора наук (технических, медицинских, …). Но отсутствие специализированного ПО инструмента регрессионного анализа не могло преодолеть следующие проблемы:
-
Требуется подключать профессионального математика для решения
систем уравнений – нет возможности ДЕТАЛЬНЫХ ИССЛЕДОВАНИЙ в виде быстрого перебора
ВСЕХ возможных вариантов для поиска решений;
-
При расчётах не на специализированном ПО с увеличением количество
параметров сильно усложняется решение систем уравнений традиционными средствами;
-
ФОРМЫ ПРЕДСТАВЛЕНИЯ РЕЗУЛЬТАТОВ - визуализация решений должна
быть не только в виде весовых коэффициентов, но и в виде ГИСТОГРАММЫ вкладов
параметров в результат процесса В РАЗМЕРНОСТИ РЕЗУЛЬТАТА для ПОЛНОЙ и НАГЛЯДНОЙ
КАРТИНЫ представления приоритетов влияния параметров процесса на результат процесса
– что очень важно для быстрых оценок эффективности;
-
Требуется БЫСТРЫЙ инструмент выборок ЛЮБЫХ ГРУПП ДАННЫХ для
перебора ВСЕХ ВОЗМОЖНЫХ ВАРИАНТОВ групп для исследований, особенно в таких
сложных биологических системных процессах как онкология;
-
Возможность
двух этапной работы – когда:
1. на ПЕРВОМ ДИАГНОСТИЧЕСКОМ этапе необходимо исследовать и разбить весь
поток данных на однородные (по процессам и признакам исходных причин) группы с
получением функций ПРОГНОЗА принадлежности к той или иной однородной группе;
2. на ВТОРОМ ОЦЕНОЧНОМ этапе проводить оценочные работы уже ВНУТРИ однородной
группы для детальных исследований наилучших вариантов воздействий;
-
Как
окончательный практический выход исследовательских работ:
-
ПРОГНОЗ ( I ЭТАП ДИАГНОСТИКА) СОЗДАНИЕ ВЫСОКОТОЧНЫХ СИСТЕМ ПРОГНОЗА принадлежности
конкретного случая к той или иной однородной группе;
- ПРОГНОЗ (II ЭТАП ОЦЕНКА) для подбора наилучших схем воздействий (лечения в
области медицины, онкологии);
-
Кроме того, классический регрессионный анализ делался только
для числовых параметров, а для качественных параметров существует факторный
анализ – конечно два разных инструмента НЕ ПОЗВОЛЯЛИ ПОЛУЧАТЬ ЕДИНОЕ решение в
ЕДИНОЙ МАТЕМАТИЧЕСКОЙ СХЕМЕ – без которого оба результата были неполными.
ВСЕ ЭТИ ПРОБЛЕМЫ для специалистов
решил специализированный научно-практический комплекс «PLANETA», который позволяет ОЧЕНЬ
ЛЕГКО и ОЧЕНЬ БЫСТРО работать с ведением и анализом научно-практических баз
данных в регрессионно-факторном анализе (РФА) БЕЗ ПРОФЕССИОНАЛЬНЫХ МАТЕМАТИКОВ.
РЕГРЕССИОННО - ФАКТОРНЫЙ АНАЛИЗ – дальнейшее развитие инструмента
регрессионного анализа в котором весь набор данных - ЧИСЛОВЫЕ И КАЧЕСТВЕННЫЕ
параметры используются в единой математической схеме регрессионного анализа.
Принцип работы с РФА в ПО «PLANETA» очень простой:
– указывая любые параметры результатов процесса (критерии) и набирая ВСЕ
остальные параметры в весовую функцию - можно сразу получать БЫСТРЫЕ решения
РФА в виде наглядной, полной и исчерпывающей картины влияния ВСЕХ ПАРАМЕТРОВ (и
качественных и числовых) на результат процесса в ЕДИНОЙ МАТЕМАТИЧЕСКОЙ СХЕМЕ.
Результат получается в виде ГИСТОГРАММЫ построенной по весовым вкладам параметров
в результат и в виде системы высокоточного индивидуального прогноза значений
критериев.
Гистограмма решения позволяет наглядно видеть величины и приоритеты
значимостей параметров на результат и решать задачи ОПТИМИЗАЦИИ и выбора
оптимальных действий по максимизации (минимизации) КРИТЕРИЕВ (результатов)
процесса. А запись весовых функций в анкету позволяет получать АВТОМАТИЧЕСКИЙ
ПРОГНОЗ ЗНАЧЕНИЙ ВСЕХ КРИТЕРИЕВ АВТОМАТИЧЕСКИ при заполнении требуемого для
прогноза комплекта данных
|
Поскольку РФА позволяет определять точную значимость ЛЮБЫХ
параметров на результат – то в ОНКОЛОГИИ это единственный инструмент который
ПОЗВОЛЯЕТ ЛЕГКО И БЫСТРО определять в каких выборках пациентов СУЩЕСТВУЮТ
ИСХОДНЫЕ ПРИЧИНЫ В СИСТЕМАХ ОРГАНИЗМА КОТОРЫЕ КОРРЕЛИРУЮТ с характеристиками
динамики онкологических нарушений (критериев) – устранение ИСХОДНЫХ ПРИЧИН
НАРУШЕНИЙ организма где это возможно должно приводить к полной ремиссии.
|
РЕГРЕССИОННЫЙ АНАЛИЗ –
МЕЖДУНАРОДНЫЙ ИНСТРУМЕНТ РАБОТЫ С МНОГОПАРАМЕТРИЧЕСКИМИ
СИСТЕМНЫМИ ПРОЦЕССАМИ
(Как расчетный инструмент проведения научных работ на соискание
учёной степени доктора наук в любой научной области)
Таблица сравнения методов однопараметрической доказательной статистики и РФА
|
|
|
|
Обязательные условия: |
Обязательные условия: |
|
ЗАТРАТЫ |
ЗАТРАТЫ |
|
|
|
Возможности регрессионно-факторного анализа (РФА)
1. РФА – международный
инструмент доказательства свойств многопараметрических процессов;
2. РФА позволяет получить полную
картину влияния параметров процесса на результаты процесса в единой
математической схеме регрессионного анализа.
По полной картине влияния параметров на результат можно:
- разбивать сложные потоки данных на однородные группы;
- оценивать эффективность воздействий внутри однородных групп;
- для однородных групп получать системы высокоточного прогноза по всему
комплексу результатов процесса (критериев);
3. РФА позволяет разбить общий
поток на однородные группы по однотипным картинам влияния параметров процесса на
результаты процесса с той степенью детализации которую позволяет объем данных;
4. Автоматизированное ПО РФА
позволяет ЛЕГКО и БЫСТРО получать полные картины влияния параметров процесса на
его результаты, что в десятки раз быстрее работы с однопараметрической
статистикой;
5. Однопараметрическая
статистика работает без учета влияний остальных параметров и может показывать
противоположные результаты – РФА позволяет определить РЕАЛЬНЫЕ знак и точную
величину реального собственного вклада параметра в процесс в единой
математической схеме;
6. РФА позволяет получать
первые оценки эффективности НОВЫХ препаратов и схем лечения на фоне уже
имеющейся группы начиная уже с 2..3 случаев – при явно отрицательном результате
можно прекратить использование нового препарата с минимальным ущербом для
пациентов или при положительном результате продолжить уточнение эффективности с
дальнейшей детализацией по условиям применения по мере добавления
результирующих данных;
7. РФА позволяет делать оценки
эффективности на рабочем материале без создания специальных исследовательских
групп и БЕЗ ограничений уже на существующих схем лечения для чистоты
эксперимента – для РФА не нужно ограничивать необходимые процедуры а только
чередовать их в опытах с новым воздействием;
8. РФА - ИНДИВИДУАЛЬНЫЙ ПОДХОД
- системы высокоточного прогноза по весовым функциям РФА используются на ПЕРВОМ
ЭТАПЕ - для определения принадлежности пациента к той или иной группе и на
ВТОРОМ ЭТАПЕ для высокоточного прогноза результата внутри однородной группы –
весь цикл ИНДИВИДУАЛЬНОЙ работы с пациентом;
9. По мере набора пациентов в
базе данных в РФА можно ЛЕГКО и БЫСТРО постоянно уточнять результаты РФА и
создавать более детальные однородные группы и повышать точность результатов.
ВИДЫ МНОГОПАРАМЕТРИЧЕСКИХ СИСТЕМ
|
Для исследований и доказательств в многопараметрических системных
процессах на международном уровне используется инструмент регрессионного
анализа, так как позволяет получать оценки и решения с учётом всех параметров
системного процесса в ЕДИНОЙ МАТЕМАТИЧЕСКОЙ СХЕМЕ. ФИНАНСОВЫЕ СИСТЕМЫ Финансовые системы полностью взаимосвязаны на всех уровнях иерархии как в рамках одного государства, так и между государствами и степень взаимовлияния всех параметров может незначительно меняться в зависимости от конкретных свойств конкретной текущей базы данных – особое отличие от других видов многопараметрических систем финансовые системы меняются во времени вследствие своего развития. ТЕХНИЧЕСКИЕ СИСТЕМЫ Технические многопараметрические системы – могут быть взаимозависимы от среды, могут быть полностью автономны, могут иметь свойство идентичности и рассматриваться в однопараметрической доказательной статистике, которая изначально и была создана для доказательных оценок технических систем. ТРАДИЦИОННАЯ МЕДИЦИНА (НЕ
ОНКОЛОГИЯ) Вся традиционная медицина имеет известныые моно-параметрическими исходные причины системных нарушений могут рассматриваться как одномерные и однотипные, с возможностью применения методов однопараметрической доказательной статистики при которой при неограниченном увеличении количества опытов – увеличивается точность результатов. ОНКОЛОГИЧЕСКАЯ МЕДИЦИНА - В традиционной медицине
в РФА – чем больше данных в группе, тем точнее результат |
ПОДРОБНО…
|
В настоящее время при отсутствии адаптированного
к медицине инструмента РФА (как ПО аналитического комплекса «PLANETA» ) и ограниченных возможностей одномерной статистики в
онкологии рассматриваются только параметры характеристик нарушений – влияние
параметров исходных характеристик систем организма, клиники и биохимии в одномерной
статистике не рассматривается в единой математической схеме – в
научной онкологии в базах данных для анализа отсутствуют параметры всех
систем организма - всей клиники и биохимии. В области онкологии любая
диагностическая и прогностическая работа возможна ТОЛЬКО после максимальной разбивки
всего потока 1.
Каждая однородная группа имеет свою
картину ПРИОРИТЕТОВ влияния параметров на перечень критериев (результатов) 2.
После выделения однородной группы по
весовой функции РФА можно осуществлять АВТОМАТИЧЕСКИЙ высокоточный прогноз
принадлежности конкретного нарушения к той или иной однородной группе; 3.
ТОЛЬКО ВНУТРИ однородной группы можно
осуществлять поиск наилучших схем лечения; 4.
ОДНОРОДНУЮ ГРУППУ при наличии
достаточного количества новых опытных данных можно разбивать на более
детальные однородные группы для повышения точности оценок и прогноза;
ИСХОДНЫЕ ПРИЧИНЫ СИСТЕМНЫХ НАРУШЕНИЙ ОРГАНИЗМА –
из общего потока онкологии необходимо определять и выделять группы с наличием
ИСХОДНЫХ НАРУШЕНИЙ в системе организма устранение которых приводит к полной
ремиссии.
Локальные варианты – типа РМЖ – высокая вероятность
ремиссии - хороший прогноз
В РФА работа с онкологическим потоком производится по базе
данных со всеми ключевыми параметрами систем организма и параметрами
следствий нарушений в два этапа - на втором этапе уже внутри однородных групп
подбираются наиболее эффективные средства воздействия |
||||||||||
|
|
||||||||||
Программный процесс получения решения РФА в
аналитическом комплексе «PLANETA»(«ФАКТОР-ПРОГНОЗ»)
НАЧАЛО: ИМПОРТ и П О Д Г О Т О В К А Д А Н Н Ы Х
ИМПОРТ – МОДИФИКАЦИЯ – ВЫБОРКИ
|
|
|
|
||||
|
ИМПОРТ из Excel |
МОДИФИКАЦИЯ БД |
ВЫБОРКИ ДАННЫХ |
||
|
ИМПОРТ данных |
Модификация базы |
Любые выборки данных |
|
|
|
|||
В программном аналитическом комплексе «PLANETA» на рабочей или установленной из Excel таблице базы данных:
1. В
двузначных качественных параметрах проверить 1-я качественная позиция означает
«НЕТ ФАКТОРА» 2-я качественная позиция «ЕСТЬ ФАКТОР» - установите ТАКУЮ
последовательность перестановкой пунктов если её нет;
2. Разложить автоматически качественные состояния > 2 значений - в 2-х значные факторы в конец анкеты – <НЕТ ФАКТОРА> и <ЕСТЬ ФАКТОР>
В РФА использовать качественные
состояния можно только в двузначном виде:
0 – нет фактора и 1 – есть
фактор
РАЗЛОЖИТЬ
КАЧЕСТВЕННЫЕ ПАРАМЕТРЫ КАК ФАКТОРЫ
В КОНЕЦ АНКЕТЫ (ТАБЛИЦЫ) ДАННЫХ
В комплексе PLANETA есть ПРОГРАММНОЕ АВТОМАТИЧЕСКОЕ преобразование
качественных параметров > 2 состояний к виду двузначных факторов в
аналитическом научном комплексе PLANETA (ФАКТОР) и запись преобразованных
качественных параметров в двузначном виде в конец таблицы базы данных .
Разложить качественные пункты с состояниями >2 как двузначные факторы: 0 –
«нет фактора» 1 – «есть фактор» можно отдельно для каждого параметра из 2-х
форм:
|
из < ТАБЛИЧНОЙ
ФОРМЫ > работы с данными в разделе < главное меню > < столбцы
> < разложить подпункты как факторы в конец анкеты > |
из ФОРМЫ < ВЫБОРКИ
данных > |
ВЫБОРКИ - окно БЫСТРОГО формирования выборок данных
Самый
необходимый этап любого анализа информации с возможностью наложения
ограничений по всем параметрам одновременно:
Можно выводить для наложения ограничений и просмотра результата как все
параметры подряд, так и выводить только нужные параметры из разных мест базы:
|
|
|
Выбранные ПО ВСЕЙ БАЗЕ из
разных мест для работы параметры для удобства можно визуализировать в одном
месте, чтобы не листать всю базу, при этом список качественных состояний будет виден
целиком.
ПРЕДСТАВЛЕНИЕ РЕЗУЛЬТАТА
1. ВЕСОВЫЕ КОЭФИЦИЕНТЫ весовой
функции РФА решения системы линейных и нелинейных уравнений используется для прогноза значения
критерия.
2. ГИСТОГРАММА ВЕСОВЫХ ВКЛАДОВ параметров строится в МАТЕМАТИЧЕСКИ ПРЕОБРАЗОВАННЫХ В
УСЛОВНЫХ ЕДИНИЦАХ РАЗМЕРНОСТИ КРИТЕРИЯ
например: если у вас
критерий в месяцах – то и столбцы весовых вкладов в гистограмме будут тоже в
условных единицах месяцев, если критерий в единицах вероятности или качество –
то и столбцы гистограммы весовых вкладов параметров (и числовых и качественных)
будут тоже в условных единицах вероятностных долей.
Данное решение на конкретный набор параметров будет актуально для всего
процесса т.к. ВСЕ НЕ ВКЛЮЧЁННЫЕ В РАСЧЕТ параметры косвенно войдут в схему
расчёта по значению критерия (параметра результата) и заданный разный набор
параметров будет влиять только на значение ошибки прогноза критерия (параметра
результата).
ПЕРВЫЙ ПРИЗНАК НЕОДНОРОДНОСТИ ГРУППЫ:
Нельзя не отметить что при оценках приоритетов параметров процесса необходимо разбивать ОБЩИЙ ПОТОК ДАННЫХ процесса на ОДНОРОДНЫЕ ГРУППЫ – ПЕРВЫЙ ПРИЗНАК НЕОДНОРОДНОСТИ группы для анализа – при добавлении параметра в схему расчёта наблюдается УМЕНЬШЕНИЕ значения адекватности весовой функции реальной зависимости по критерию Фишера – значения ( F > Fкритич.) – ОШИБКА АДЕКВАТНОСТИ УВЕЛИЧИВАЕТСЯ
Конечные
результаты РФА обладают свойством доказанности результата, который определяется
адекватностью реальной зависимости по F-критерию
Фишера – ошибка между расчетными (по РФА) и опытными значениями (F) не должна
превышать табличного критического значения (Fкритич.) по
таблице критических значений Фишера.
РФА позволяет проводить:
1. Разделение
общего потока информации на однородные группы по картинам влияния факторов
процесса на его результат;
2. МГНОВЕННУЮ Оценка
эффективности препаратов и схем воздействий на текущем рабочем материале –
оценка величин и приоритетов ВЛИЯНИЯ параметров процесса на его результаты
(критерии) с целью точной диагностики и оптимизации регулирования процесса;
3. Создание
систем диагностики принадлежности процесса к той или иной однородной группе для
последующего анализа уже внутри однородной группы (особо актуально в медицине
в онкологии – как наиболее сложных процессов системных нарушений);
4. Создание систем высокоточного прогноза результата процесса.
МОНИТОРИНГ РЕЗУЛЬТАТОВ РФА
наглядное сравнение расчётных и опытных значений
После получения весовой функции РФА всегда имеется возможность визуально и
математически посмотреть соответствие опытных и рассчитанных по функции РФА
значений
|
|
|
|
|
|
По данному графику наглядно представлено, что в 79,2% случаев
прогностическая функция регрессионно-факторного анализа будет однозначно
определять состояние «рак» (более 0,71) – «не рак» (менее 0,27)” и в 20,8%
потребуются дополнительные исследования для уточнения состояния
Непрерывная функция прогнозирования имеет более точную интерпретацию состояния “рак – не рак”, чем качественная дискретная двузначная маркировка состояния “рак – не рак”
ПРОВЕРКА ПРАКТИЧЕСКОЙ
ошибкИ прогноза НА ПРАКТИКЕ
Проверка соответствия расчётных и опытных значений по схеме «МИНУС -1»
такая проверка показывает как будет проходить прогноз на НОВЫХ СЛУЧАЯХ не
участвовавших в получении функции прогноза РФА и позволяет определить ошибку
прогноза на практике.
|
|
Соответствие опытных и расчётных значений по схеме «МИНУС
ОДИН» – РФА строится БЕЗ пациента – и для этого пациента считается прогноз
как для ВНОВЬ ПРИБЫВШЕГО |
|
|
|
||
ПРОГНОЗИРОВАНИЕ
Прогнозирование – возможность определить значение результата при заданных вариантах течения процесса, в том числе, и при различных воздействиях.
В системе ФАКТОР для прогнозирования используются весовые функции регрессионно-факторного анализа проходящие по условию адекватности реальной зависимости по F-критерию Фишера. Чем меньше значение F-критерия по отношению к критическому Fкр – тем точнее прогнозируемая величина и меньше зона неопределенности. Прогностические функции высокой точности могут быть получены для выборок групп данных при обязательном соблюдении условий ограничений выборки для прогнозируемого случая.
Принципы работы системы ФАКТОР как системы высокоточного прогнозирования:
n прогноз по весовым функциям, полученным по всему качественно-числовому объему информации в единой схеме без ограничений на объем и состав информации;
n
Прогнозирование
по весовым функциям, полученным по собственному текущему рабочему материалу, с учетом постоянно меняющихся
собственных внешних и внутренних условий работы;
Основополагающие
условия оптимизации и прогнозирования:
ОПТИМИЗАЦИЯ – при решении задачи поиска оптимальных воздействий по максимизации результата в минимуме достаточно базы данных по этим воздействиям и результату. Точность и адекватность решения будет увеличиваться при расширении объема используемой информации
ПРОГНОЗИРОВАНИЕ – при решении задачи прогнозирования результата, в базе данных необходимо иметь главные ключевые параметры, определяющие значение результата
1. ПЕРВЫЙ ЭТАП
(ВИДЕО) - СОЗДАНИЕ ОДНОРОДНЫХ ГРУПП
1.1 Для любого анализа в любой области требуется
предварительное разделение всего потока данных на однородные группы. Для
БЫСТРОЙ систематизации по однородности процессов в РФА по всему перечню
критериев необходим БЫСТРЫЙ механизм выборок и быстрый автоматический расчёт.
Это выполнимо на специализированной программе PLANETA с
системой быстрых выборок данных по ИДЕНТИЧНЫМ КАРТИНАМ ВЕСОВОЙ ЗНАЧИМОСТИ
ПАРАМЕТРОВ НА РЕЗУЛЬТАТ (ПО ВЫБОРКАМ).
В медицине (онкологии) картины по весовой значимости в
программном аналитическом комплексе PLANETA (FACTOR) можно получать ПО ВСЕМУ НАБОРУ ПАРАМЕТРОВ СИСТЕМЫ В ЕДИНОЙ
МАТЕМАТИЧЕСКОЙ СХЕМЕ РФА ОДНОВРЕМЕННО:
– по ключевым параметрам всех подсистем организма
– по параметрам анализов – биохимия и все общие стандартные анализы;
– по параметрам диагноза;
– по параметрам результатов процесса.
– только после разделения
общего потока на однородные процессы можно приступать к исследованию влияния
параметров (диагноза, внешних условий, параметров воздействий, внешнего
управления (в медицине это лечение) по максимизации требуемых результатов
(критериев)).
В РФА (как и регрессионном анализе) должно
соблюдаться правило:
- количество опытов (пациентов) в расчётной выборке весовой
функции должно быть не менее количества параметров (в программном аналитическом
комплексе PLANETA все
условия расчётов выполняются АВТОМАТИЧЕСКИ).
1.2 В общем потоке для однородных групп – создание
систем высокоточного прогноза по ДИАГНОСТИКЕ – определению вероятностных
показателей принадлежности процесса медицинских (онкологических) нарушений к
той или иной однородной группе. И уже внутри каждой однородной группы для
каждого опыта можно определять точку состояния процесса в многомерном
пространстве критериев диагностических оценок для определения наилучшего
дальнейшего устранения нарушения (лечения) – в медицине это называется
ИНДИВИДУАЛЬНЫЙ ПРОГНОЗ по конкретному пациенту.
1.3
– необходимо создать ПО ОБЩЕМУ ПОТОКУ данных весовые функции прогноза
принадлежности конкретного опыта к той или иной однородной группе чтобы вести
работу с опытом ВНУТРИ ОДНОРОДНОЙ ГРУППЫ.
Например, в такой разнообразной области системных нарушений как онкология,
где нет даже двух идентичных случаев пациентов использование даже эффективных
воздействий не в однородных группах, а по общему потоку в общей статистике
может привести к нулевому и даже отрицательному результату. Поэтому дробление
информации на однородные группы должно быть обязательным и неограниченным по
детализации однородности – детализировать нужно непрерывно по мере увеличения
объёмов данных.
2. ВТОРОЙ ЭТАП нахождение
решений и дальнейшая декомпозиция однородного потока на однородные потоки с
большей детализацией уже внутри однородных групп –
оценка эффективности на весовых функциях РФА позволяет перейти к БОЛЕЕ ТОЧНЫМ
ОЦЕНКАМ эффективности новых методов воздействий (в медицине – препаратов, схем
лечения) непосредственно на текущем рабочем материале (без создания
отдельных групп для оценок на однопараметрических методах типа достоверной
разности групп).
ПРАКТИКА
Имея
уже готовую группу от 50 пациентов с полным набором параметров – можно будет
делать первые оценки НОВЫХ факторов, препаратов и схем лечения уже с первых 2…3
результатов - и, при условии их положительности,
продолжать уточнение оценки до 10 и более результатов.
ИНДИВИДУАЛЬНЫЙ ПОДХОД при оценках и прогнозах – Весовые
функции регрессионно-факторного анализа позволяют реализовать ИНДИВИДУАЛЬНЫЙ
ПОДХОД к каждому системному случаю нарушений, т.к. при оценке эффективности и
прогнозе используется ПЕРСОНАЛЬНЫЙ ИНДИВИДУАЛЬНЫЙ НАБОР параметров системы
(пациента) для оценки конкретного индивидуального состояния (диагноза пациента)
по всему перечню критериев и прогноза:
- Это позволяет значительно повысить эффективность уже разработанных схем лечения детально по однородным группам, полученных ПО ВСЕМУ НАБОРУ ПАРАМЕТРОВ системы ОРГАНИЗМА (не только параметров новообразований и нарушений);
МИНИСТЕРСТВО ОБРАЗОВАНИЯ РОССИЙСКОЙ ФЕДЕРАЦИИ
МИНИСТЕРСТВО ПО АТОМНОЙ ЭНЕРГИИ РОССИЙСКОЙ ФЕДЕРАЦИИ
МИНИСТЕРСТВО ПРОМЫШЛЕННОСТИ, НАУКИ И ТЕХНОЛОГИЙ РОССИЙСКОЙ
ФЕДЕРАЦИИ
ISBN 5-7262-0354-2. НАУЧНАЯ СЕССИЯ МИФИ-2001. Том 1. УДК 621.382(06) Электронные
измерительные системы.
|
|
Два этапа прогноза для любых процессов:
– ПЕРВЫЙ ЭТАП прогноз принадлежности к ОПРЕДЕЛЕННОЙ однородной группе
– ВТОРОЙ ЭТАП индивидуальный прогноз-оптимизация воздействий (лечения) внутри
однородной группы
ПЕРВЫЙ
ЭТАП – прогноз принадлежности
к ОПРЕДЕЛЕННОЙ однородной группе
НА ПЕРВОМ ЭТАПЕ
при помощи формы БЫСТРЫХ ВЫБОРОК и формы быстрого расчёта – необходимо разделить
общий поток на ОДНОРОДНЫЕ ГРУППЫ со СВОЕЙ КАРТИНОЙ влияния параметров процесса
на результат процесса (на перечень критериев) – без быстрой системы выборок
данных провести работу разделения всего потока на однородные группы НЕ ВОЗМОЖНО.
Первый этап заканчивается получением функции прогноза принадлежности опыта
(пациента) к той или иной однородной группе:
1. Пример разделения
общего потока на однородные группы в области традиционной медицины (не
онкологии)
по материалам совместной
научной работы Первого МГМУ им. Сеченова Москва РФ
и РОНЦ им. Н.Н Блохина РАМН Москва РФ в научной статье
«Дифференцированный подход к диагностике и тактике ведения больных с
гиперпластическими процессами эндометрия в постменопаузе»
академик РАН А.Н. Стрижаков и др. / «Вопросы гинекологии, акушерства и перинатологии»,
2014, т.13, №1, с.5-14, ISSN 1726-1678
Пример показывает как РФА даже в малых выборках ( n
= 26 ) позволяет 100% разделять в прогнозе однородные группы:
“… Прогноз РФА совпал с гистологическим заключением в 100% наблюдений атрофии
и полипов эндометрии. Это позволяет использовать данную весовую функцию РФА для
прогноза высокой степени точности … “(с.11)
Весовая функция 100% прогноза состояния «Атрофия» - «Полипы эндометрия»
в группе «Атрофия» - «Полипы эндометрия» по критерию «Атрофия» при высокой
степени адекватности реальной зависимости по F-критерию
Фишера F/Fкр. =0,327/ 2,0
(16,3% от Fкр.)

Прогноз принадлежности к группе «атрофия» при р > 0,58
или группе «Полипы эндометрия» при р < 0,37 (73,1%)

В
зависимости от того какие процессы рассматриваются, какой набор параметров
используется и какой набор опытных данных имеется – можно получать как 100%
прогноз состояния, так и многомерные координаты точки искомого состояния в
многомерной области возможных состояний и с увеличением количества опытного
материала результат можно бесконечно уточнять и детализировать для подбора
наилучших воздействий.
Таблица весовых вкладов (в условных единицах критерия), весовых коэффициентов и
диапазонов параметров:
|
|
ВЕС(F) |
изм(F) |
K(вес) |
порядок |
Xопт(Fmin) |
Xопт(Fmax) |
Pmin * |
Pmax * |
|
возраст(лет) |
2,409 |
243,04 |
0,036741 |
1 |
51 |
81 |
51 |
81 |
|
рост |
7,947 |
788,783 |
0,04866 |
1 |
152 |
172 |
152 |
172 |
|
вес |
-0,274 |
36,088 |
-0,00342 |
1 |
150 |
60 |
60 |
150 |
|
IGFBP1 ng|ml |
-0,395 |
50,32 |
-0,02651 |
1 |
32,1 |
5,6 |
5,6 |
32,1 |
|
IGFBP3, mkg-ml |
-2,835 |
289,131 |
-0,82051 |
1 |
4,89 |
2,13 |
2,13 |
4,89 |
|
IGF1, ng-ml |
0,485 |
56,998 |
0,003707 |
1 |
61,5 |
244,2 |
61,5 |
244,2 |
|
IGF2, mkg-ml |
1,578 |
160,697 |
0,805962 |
1 |
1,1 |
2,87 |
1,1 |
2,87 |
|
sFas, pg-ml |
-0,703 |
81,402 |
-0,00144 |
1 |
988,5 |
131 |
131 |
988,5 |
|
< const > |
-6,942 |
|
-6,942 |
|
|
|
|
|
* Для передачи окончательных решений для диагностического прогноза необходимо
так же указывать диапазоны параметров участвующих в прогнозе и, в случае выхода
параметров прогнозируемого случая за границы этих диапазонов ** указывать
результат прогноза как «условный».
** Допущения «условности» прогноза при выходе значений параметра за границы
исследуемой группы для которой была получена РФА могут быть свои для каждого
параметра и определяться практическим опытом.
В области онкологии системные процессы обладают ВЫСОКОЙ ИНДИВИДУАЛЬНОСТЬЮ и
выделение однородных групп по параметрам приводит к ЗНАЧИТЕЛЬНОМУ ПОВЫШЕНИЮ
АДЕКВАТНОСТИ РФА РЕАЛЬНОЙ ЗАВИСИМОСТИ И ТОЧНОСТИ ПРОГНОЗА – но при этом нужно
ОБЯЗАТЕЛЬНО указывать более жесткие рамки ограничений однородных групп для
использования прогноза НА ПРАКТИКЕ по этим РФА – т.е. к системе прогноза ДОЛЖНА
ПРИЛАГАТЬСЯ ПОДРОБНАЯ ИНСТРУКЦИЯ С ДИАПАЗОНАМИ РАПАМЕТРОВ ПРОГНОЗА
ПРАКТИКА ВТОРОЙ ЭТАП – оценка эффективности и высокоточный прогноз
ВТОРОЙ ЭТАП ПРАКТИЧЕСКОГО ПРОГНОЗА - только после ПЕРВОГО ЭТАПА выявления однородных групп можно получить КОРРЕКТНУЮ картину эффективности влияния параметров процесса и параметров воздействия на результат этого процесса (на перечень критериев). При этом и внутри однородного процесса требуется также разбивка на более детальные группы (например: по временной стадии течения однородного процесса) – т.к. для разных этапов процесса эффективность средств воздействия может различаться.
|
1. Функция регрессионно-факторного анализа (РФА) |
2. Соответствие расчетных и опытных значений |
Соответствие прогнозируемых значений по «схеме -1» |
|
|
|
|
|
3.функцию РФА параметров
гемостаза |
4. Авто-прогноз параметров гемостаза в анкете |
|
|
|
1.
ДЕЛАЕМ ВЫБОРКУ ДАННЫХ
2.
Открываем окно РФА программы PLANETA – задаём
параметр критерия и набираем параметры анкеты в список параметров весовой
функции РФА
при условии что адекватность функции реальной зависимости увеличивается;
3.
– в окне
регрессионно-факторного анализа нужно указать мышкой критерий (параметр
результата) в списке всех параметров;
4.
– набрать мышкой в окно функции
параметры для расчёта функции РФА из всего списка параметров – при соблюдении
условия, что при добавлении параметра рассчитанное значение адекватности
функции реальной зависимости УЛУЧШАЕТСЯ – ОШИБКА между расчётным и опытным
значением меньше критического значения ( F < Fкритич.) и
УМЕНЬШАЕТСЯ;
5.
– нажать кнопку расчёта и
получить исчерпывающую картину значимостей влияния параметров на критерий в условных
единицах размерности критерия (параметра результата) и получить значение
адекватности функции реальной зависимости по критерию Фишера
6.
Отправляем полученный результат в анкетную форму регистрационной
базы данных для прогноза критерия и записываем решение в список автоматического
прогноза анкетной формы;
7. По мере заполнения данных регистрационной анкетной формы данными нового случая – автоматически получаем значения прогнозируемых критериев.
ПРАКТИЧЕСКИЕ ПРИМЕРЫ СОЗДАНИЯ СИСТЕМ ПРОГНОЗА
по рабочим базам данных
При создании системы
прогноза – к каждой позиции (весовой функции) прогноза необходимо прилагать
ПОДРОБНУЮ ИНСТРУКЦИЮ применения этой системы прогноза в которой должны быть
чётко и однозначно перечислены ВСЕ ОГРАНИЧЕНИЯ, которые были использованы при
создании этой конкретной весовой функции прогноза. Обязательно должна
прилагаться таблица со списком параметров с указанными допустимыми диапазонами
их изменений, которые можно посмотреть в расчётной таблице РФА.
В случаях когда параметры случая выходят за диапазоны допустимых параметров
– прогноз можно указывать как условный и прилагать значения параметров вышедших
за рамки допустимого диапазона прогноза
ПРОСТЫЕ И ПОНЯТНЫЕ ДЕМОНСТРАЦИОННЫЕ ВИДЕО
|
1 Создание
систем высокоточного прогноза по таблицам данных в Excel (Лаборатория Боткинской
больницы) |
2 Создание систем высокоточного прогноза по данным лабораторий на примере группы гемостаза (РОНЦ) |
|
|
|
|
3 Создание систем высокоточного прогноза по медицинским научным
исследовательским базам |
4 Создание систем высокоточного прогноза на нелинейных весовых
функциях любого порядка |
Комментарии к видео:
1
Создание систем высокоточного прогноза по таблицам данных в Excel (Лаборатория Боткинской больницы):
Это
видео показывает как легко и просто создать систему высокоточного прогноза по
ЛЮБОЙ таблице данных Excel, полученной по программе распознавания и определения
геометрических элементов и фигур по графическим и яркостным признакам картинки –
позволяет автоматизировать тяжелый процесс визуальной диагностики по картинкам
с микроскопа и рентгенограммам
2
Создание
систем высокоточного прогноза по данным лабораторий на примере группы гемостаза
(РОНЦ):
- Показывает
как автоматизировать и сделать прогноз дорогостоящих анализов по комплексу
стандартных анализов – хорошая вспомогательная информация по перечню анализов
которые нельзя получить на имеющемся оборудовании
- Позволяет дублировать результаты анализов и возможность избежать грубых
ошибок лабораторных систем
3
Создание
систем высокоточного прогноза по медицинским научным исследовательским базам:
Простенькое
демонстрационное видео с очевидными результатами для демонстрации работы РФА в
научной части без детализаций, что Вы обычно получаете в общем случае с
первых расчётов без шлифовки результатов по выборкам.
4
Создание систем высокоточного прогноза на нелинейных весовых функциях любого
порядка:
Демонстрационное
видео по работе с весовыми функциями РФА n – го порядка с очевидными
результатами. Для демонстрации процесса работы нелинейными РФА ЛЮБОЙ СТЕПЕНИ в
научной части.
|
РФА оценки значимости всех параметров по качественному критерию «локализация первичной НЭО» позволяет получить весовую функцию высокой адекватности реальной зависимости (F/Fкр = 0,439/1,3), при n = 65 с ошибкой 33,8 % от критического значения ошибки по F-критерию Фишера.
Рисунок
33 – Весовые вклады РФА факторов по
критерию «локализация
первичной НЭО»
Нелинейные весовые функции n-го порядка позволяют изучить дозозависимости действия гипотензивных препаратов. С помощью построения математической функции зависимости степени снижения АД от дозы препарата можно установить оптимальные эффективные дозы и проследить результат передозировки препарата (рис.2). Так, например, для препарата пропранолола наибольшее снижение АД достигается в дозе около 80 мг, дальнейшее увеличение дозы препарата может уменьшать эффект и поэтому нецелесообразно. Максимальная степень снижения АД у данной группы больных мягкой и умеренной тяжести заболевания составляет 15 мм рт. ст. Общая весовая функция оценки эффективности действия групп
препаратов у больных с АГ через 4 недели лечения Сравнение
гипотензивного действия препаратов (по степени снижения систолического и
диастолического АД) у больных с артериальной гипертонией, исключив влияние
таких независимых факторов как пол, возраст больных, тяжесть и давность
заболевания, а также изучить значение этих факторов в развитии гипотензивного
эффекта препаратов.
|
||||||||
|
Пример оценки
эффективности схем лечения Четко
прослеживается высокая эффективность схем лечения по критерию «Положительная ремиссия»
на II стадии.
Значение значимости факторов схем лечения превышают значения диагностических
факторов в 10…15 раз. Так же мы видим приоритет значимостей
эффективности схем лечения для II стадии СК. Эффективность
схем лечения по критерию «Положительная ремиссия» на III стадии уже
меньше: Значение значимости факторов схем лечения превышают значения
диагностических факторов в 3…7 раз. Так же мы видим приоритет
значимостей эффективности схем лечения для III стадии СК. Эффективность схем лечения по критерию «Положительная ремиссия» на IV стадии еще меньше: Значение значимости факторов схем лечения превышают значения диагностических факторов в 2…3 раза. Так же мы видим приоритет значимостей эффективности схем лечения для IV стадии СК. |
||||||||
|
Регрессионно-факторный анализ в области научной стоматологии
Центральный Научно-исследовательский институт стоматологии. Хаустова Е.А..
Оценка качества реставрации современными композитными материалами ( научный
руководитель – член-корреспондент РАМН, профессор В.К. Леонтьев ). Дисс. Канд.
Мед. Наук. – Москва, 1999 – 222 с. Было обследовано 110 человек в возрасте от 16 до 64 лет. Исследованы характеристики реставрации 374 зубов, в 219 случаях – фронтальных зубов, в 155 случаях – зубов жевательной группы с интервалами наблюдения: после лечения – 1 нед. – 3 мес. – 6мес. – 12 мес. – 18мес(диаграмма). Весовая
функция влияния клинико-диагностических факторов и пломбировочных
материалов на значение электрометрии через 18 месяцев после
лечения Исследования с использованием инструмента регрессионно-факторного анализа позволило не только получить комплексные оценки значимости факторов внутри этапа наблюдения, но и проследить динамику изменения весовых значимостей факторов по этапам наблюдения:
|
РАБОТА С НЕЛИНЕЙНЫМИ ФУНКЦИЯМИ РФА прядка >1
Примеры определения оптимальных доз препарата
на нелинейных функциях РФА n-го порядка
в научной медицине
на аналитическом комплексе ФАКТОР-ПРОГНОЗ (PLANETA)
(по результатам версии программы ФАКТОР-ПРОГНОЗ 2000 года)
По материалам исследовательских работ по
определению оптимальных доз (ОФЛ, офлоксацин – опыты на мышах) на защиту учёной
степени д.м.н. ФГБНУ «ЦНИИТ» - «Центральный
научно-исследовательский институт туберкулеза».
|
u |
Функция 2-й степени по критерию “Гранулемы в селезенке” |
u |
Функция 2-й степени по критерию “Гранулемы в легких” |
|
|||
|
|
|
|
|||||
|
v |
Соответствие расчетного и опытного значений функции 2-й степени по критерию “Гранулемы в селезенке” |
v |
Соответствие расчетного и опытного значений функции 2-й степени по критерию “Гранулемы в легких” |
|
|||
|
|
|
|
|||||
|
w |
Выбрав кнопкой мыши нелинейный параметр – 2 Доза(раз) определяем оптимальную дозу – 288 ед. по минимизации критерия “Гранулемы в селезенке” |
w |
Выбрав кнопкой мыши нелинейный параметр – 2 Доза(раз) определяем оптимальную дозу – 320ед. по минимизации критерия “Гранулемы в легких” |
||||
|
|
|
|
|||||
Оптимизация
по одному нелинейному параметру
Набор параметров, использованный в примере линейной весовой функции, рассмотрен в виде нелинейной функции (полинома 3-й степени). Степень параметров поднималась при условии увеличения адекватности функции реальной зависимости (уменьшения F) Найденная нелинейная весовая функция является единственной для заданного набора параметров в выборке, т.к. дальнейшее повышение или понижение степени по любому параметру приводит к ухудшению адекватности функции реальной зависимости.
|
|
|
|
|
|
|
|
Параметры процесса: Характеристика нелинейного влияния параметра процесса на результат (критерий) имеет относительный характер, поскольку в системных процессах все параметры взаимосвязаны и каждому значению одного параметра соответствует определенная комбинация значений остальных параметров, которые также вносят свой вклад в результат. |
Параметры внешнего воздействия: Внешние воздействия на систему обладают автономностью действия, и нелинейные функции по параметрам внешнего воздействия используются для ОПТИМИЗАЦИИ ( доз препаратов)
НЕЛИНЕЙНЫЕ ВЕСОВЫЕ ФУНКЦИИ ОТКЛИКА РЕГРЕССИОННО-ФАКТОРНОГО анализА любой степени В НАУЧНОМ КОМПЛЕКСЕ PLANETA (ФАКТОР-ПРОГНОЗ)
Получение нелинейных весовых функций осуществляется поднятием степени
параметров в (белом) окне двойным щелчком кнопки мыши по нужному параметру ( в
примере – Доза(разовая)). Степень параметра обозначается цифрой перед
наименованием - 2 Доза(разовая). Степень параметра поднимается только при
условии F (большей степени) < F
(меньшей степени), что свидетельствует о большем приближении функции к реальной
зависимости. В противном случае степень понижается по кнопке
. В примерах показана
оптимизация по двум критериям – “Гранулемы в легких” и “Гранулемы в селезенке”
для определения оптимальной дозы препарата ОФЛ по достижению минимума критерия.
Одновременная оптимизация по двум и более нелинейным параметрам – функции
РФА n-го порядка
|
Графическая
интерпретация оптимизации по одному нелинейному параметру «возраст» |
Графическая интерпретация оптимизации по 2-м нелинейным параметрам: «размер печени» и «размер селезёнки» (см. ниже) |
|
|
|
|
|
В случае, когда необходима оптимизация параметров воздействия без учета
эффектов совместного действия, то достаточно однопараметрической оптимизации.
При необходимости учета эффекта совместного действия (при одновременном
воздействии различных комбинаций доз нескольких препаратов) в базе данных
формируются дополнительные столбцы данных из произведений значений этих
параметров, весовой вклад которых в критерий и будет определять дополнительно
эффект совместного действия. В этом случае оптимальную комбинацию значений двух
воздействий (доз) необходимо определять на 3-х мерной поверхности, где по X и Y -
значения параметров воздействия (доз) по Z
–
значение критерия (результата)
Оптимум (глобальный экстремум), значения X и Y при
которых Z = Zmin (max), полученный
с учетом совместного действия не будет совпадать с оптимумами отдельно по
параметрам.
Необходимый объем информации для решения поставленных задач
Можно подходить к процессу обработки информации по принципу «как есть». Завести в базу данных параметры «как есть» и решать конкретные задачи по оценке эффективности воздействий. В этом случае будут решаться задачи по конкретным ситуациям. Это приемлемо, когда процесс ограничивается стандартными повторяющимися ситуациями, но этого недостаточно при работе с многовариантными процессами. Многовариантные процессы необходимо рассматривать с более широких позиций, добавляя в базу данных правила поведения процесса во внешней среде.
Сточки зрения математического объема данных, регрессионно-факторный анализ можно проводить в минимуме с матрицы 10 операций на 5…10 параметров. В норме (разбивка базы данных на выборки): 30 операций на 5…20 параметров. При увеличении объема данных в однородной выборке точность расчета возрастает. В системе PLANETA (ФАКТОР-ПРОГНОЗ) нет ограничений на максимальный объем операций и факторов в схеме регрессионно-факторного анализа. ВСЕ ОСТАЛЬНЫЕ ПАРАМЕТРЫ, НЕ УКАЗАННЫЕ В РАСЧЕТЕ КОСВЕННО ВОЙДУТ И РАСПРЕДЕЛЯТСЯ МЕЖДУ УКАЗАННЫМИ – поэтому желательно включать в расчёт все ведущие воздействия, определяющие значение выбранного критерия.
РЕШЕНИЕ ЗАДАЧ ОПТИМИЗАЦИЯ
– при решении задачи поиска оптимальных воздействий по максимизации результата
в минимуме достаточно базы данных по этим воздействиям и результату. Точность и
адекватность решения будет увеличиваться при расширении объема используемой
информации
РЕШЕНИЕ ЗАДАЧ ПРОГНОЗИРОВАНИЯ
– при решении задачи прогнозирования результата, в базе данных необходимо иметь
главные ключевые параметры, определяющие значение результата
|
|
Получение
линейных весовых функций (все параметры в 1-й степени)
Операция
получения весовой функции проста:
в верхнем(зеленом) поле выбора задается критерий Xкр (любой параметр результата – срок жизни)
в списке параметров анкеты кнопкой мыши набираются параметры ( любые – качественные и числовые) X1,X2, … ,Xa в состав весовой функции – значимость которых на результат нас интересует.
Расчет
осуществляется нажатием кнопки 
решается система уравнений вид Xкр I (критерий) = K1X1i + K2X2i + ... + KaXa i + C
и определяются неизвестные коэффициенты системы уравнений – K1,K2, … ,Ka и C (const)
Количество уравнений в системе – количество опытов(строк базы данных) в выборке и значения X1i,X2 i, … ,Xa i в каждом уравнении – значения параметров в i-м опыте
Результат решения визуализируется в виде гистограммы ВЕС(F) со значениями в таблице под ярлычком <РАСЧЕТ>
Определяется адекватности функции реальной зависимости: СРОК БОЛЕЗНИ (F/Fкр = 0.861 / 1 n= 1720
Полученная функция РФА считается
адекватной реальной зависимости в случае F/Fкр <1 и чем меньше это значение
– тем больше приближение к реальной зависимости.
|
Весовая функция отклика РФА любой
степени – адекватна реальной зависимости по F-критерию
Фишера при обязательном условии F < F критич.
(табл. Фишера) |
Таблица вкладов параметров, весовых
коэффициентов и диапазонов изменения параметров |
|
|
|
( в
медицине 0,1… 0,3 – высокая степень адекватности, в экономических и технических
областях всегда очень высокие значения адекватности – порядка сотых и тысячных
0,01…0,0001 )
ВНИМАНИЕ !!! Расчет функции не будет производиться в следующих случаях:
n Количество опытов меньше количества набранных в функцию параметров
n В числовом или качественном параметре присутствует только одно значение
n Набраны все качественные параметры составляющие полную группу событий (из полной группы событий один-любой параметр должен исключаться – иначе система не будет иметь решения – этот параметр будет инверсией остальных событий группы).
n В функцию набраны равнозначные (идентичные) по содержанию параметры, что соответствует повторению столбцов в матрице параметров. Оставляется любой из равнозначных параметров с более широкой трактовкой его физического смысла.
К(вес) - найденные
весовые коэффициенты системы уравнений
ВЕС(F) – ГИСТОГРАММА – характеристика весового вклада параметра в значение критерия
Если необходимо прямое прогнозирование результата (значения критерия) в конкретном случае, то используются коэффициенты
К(вес). Сумма произведений конкретных значений параметров на соответствующие весовые коэффициенты определяет ожидаемое значение результата (критерия)
Если необходимо оценить степень влияния параметров на результат (критерий), то используется характеристика ВЕС(F)
ВЕС(F) – характеристика вклада параметра, осредненная по всем опытам в выборке.
Для качественного параметра ВЕС(F) = K(вес) , для числового параметра

Правила работы в РФА
|
Единая по всей информации весовая функция может быть получена по всему качественно-числовому набору параметров без ограничений, но при соблюдении следующих правил: ò количество набранных параметров не должно превышать количество опытов (n) в выборке. Количество опытов в выборке можно проконтролировать в окошке <n=…>. (опыты в которых отсутствуют данные хоть по одному набранному в функцию параметру автоматически исключаются из текущей выборки) Чем больше опытов в выборке – тем точнее весовая функция ò качественные параметры включаются в функцию в двузначном виде: 0- нет (фактора) и 1 – есть(фактор) |
В
регрессионно-факторном анализе использовать качественные состояния можно только
в двузначном виде: 0 – нет фактора 1 – есть фактор
Есть АВТОМАТИЧЕСКОЕ преобразование качественных параметров > 2 состояний
к виду двузначных факторов в аналитическом научном комплексе PLANETA
(ФАКТОР) и запись преобразованных качественных параметров в двузначном виде в
конец таблицы базы данных .
Разложить качественные пункты с состояниями >2 как двезначные факторы: 0 –
«нет фактора» 1 – «есть фактор» можно отдельно для каждого параметра из
панели ТАБЛИЦА ДАННЫХ:
< Опции > – < разложить как факторы в конец таблицы данных >
|
Можно разложить качественные параметры из ТАБЛИЧНОЙ ФОРМЫ работы с данными в
разделе < главное меню > < столбцы > < разложить подпункты
как факторы> |
Или можно разложить ВСЕ КАЧЕСТВЕННЫЕ параметры > 2 состояний из ФОРМЫ
ВЫБОРКИ данных |
Есть ВАЖНЫЙ МОМЕНТ в наборе в расчёт параметров-факторов из ПОЛНОЙ ГРУППЫ
СОБЫТИЙ – один (любой) фактор из полной группы событий НЕ ДОЛЖЕН НАБИРАТЬСЯ В
РАСЧЁТ – так как его добавление сделает матрицу системы вырожденной и она не
будет иметь решения – этот не включённый в расчёт параметр будет НУЛЕВОЙ точкой
отсчёта ( на Y=0 ) относительно
которого будут располагаться те факторы полной группы которые включены в расчёт
М е д и ц и
н а (критерий – качество)
VIDEO
MEDICINE
|
Набор параметров в РФА из
правого списка |
Набор параметров в РФА из
панели всей анкеты ( закрывается поле расчёта ) |
|
|
|
|
|
|
|
Гистограмма эффективности и таблица расчетов |
Гистограмма эффективности для экспорта в другие приложения |
|
|
|
|
|
|
|
Соответствие опытных и расчётных значений |
Удаление параметров из зоны
неопределенности – 100% разграничение |
|
|
|
|
Различия регрессионно-факторного анализа для
числового и качественного критерия |
|||
|
1.7 Окончательный вариант оценки эффективности параметров |
1.8 Графики соответствия расчётных и опытных значений по числовому критерию |
1.9 Соответствие расчетных и опытных значений по схеме «Минус один» |
|
|
|
|
|
|
|
|
|||
|
|
|||
|
ДЛЯ КАЧЕСТВЕННОГО КРИТЕРИЯ |
|||
|
1.7 Окончательный вариант – просмотр на соответствие расчетных и опытных значений |
1.8 Доводка РФА прогноза – удаление 5% неопределенных по данному критерию записей |
1.9 Соответствие расчетных и опытных значений по схеме «Минус один» |
|
|
|
|
|
|
|
|
Соответствие опытных и расчётных значений по схеме «МИНУС
ОДИН» – весовая функция строится БЕЗ УБИРАЕМОГО пациента – и для этого
пациента считается прогноз как для ВНОВЬ ПРИБЫВШЕГО |
|
|
|
||
Оценка эффективности в РФА
Общая часть РФА + практические материалы из научных работ на защиту учёных
степеней кандидатов и докторов наук
VIDEO MEDICINE
Создание линейных и нелинейных весовых функций РФА n-го порядка для оценки эффективности
|
|
|||
|
1.1
Задание критерия |
1.2
Задание – набор параметров |
1.3
Расчет |
|
|
|
|
|
|
|
|
|||
|
Нелинейная функция РФА n-го порядка |
|||
|
1.4 2D функция РФА 2-го порядка по параметру «Возраст» |
1.5 2D Функция РФА 3-го порядка по параметру «Размер объекта» |
1.6 3D (3-х мерная) Функция РФА 3-го порядка в размерности 3D |
|
|
|
|
|
|
|
Нелинейная функция РФА 3-го порядка с большим
количеством параметров уже НЕ ИМЕЕТ ЗОНЫ НЕОПРЕДЕЛЕННОСТИ |
|||
|
1.4 2D функция РФА 3 степени с большим количеством параметров |
1.5 2D Функция РФА 3-степени не имеет зон неопределенности – 100% разграничение по прогнозу |
1.6 3D (3-х мерная) Функция РФА 3-го порядка в размерности 3D |
|
|
|
|
|
|
1. Получаем
весовую функцию влияния параметров на результат
2. Добавляем ее в список автоматического прогноза анкеты ведения данных
3. Получаем автоматический ВЫСОКОТОЧНЫЙ ПРОГНОЗ РЕЗУЛЬТАТА при заполнении
данных текущих или значений прогнозируемых ситуаций

Два этапа прогноза для любых процессов:
– ПЕРВЫЙ ЭТАП прогноз принадлежности к однородной группе
– ВТОРОЙ ЭТАП оптимизация воздействий и индивидуальный прогноз
Для анализа данных в такой сложной области нарушений в биологических системах
как онкология НЕОБХОДИМО:
НА
ПЕРВОМ ЭТАПЕ С ФОРМОЙ БЫСТРЫХ ВЫБОРОК – разделить общий
поток на ОДНОРОДНЫЕ ПРОЦЕССЫ со СВОЕЙ КАРТИНОЙ влияния параметров процесса на
результат процесса (на перечень критериев) – без быстрой системы выборок данных
провести работу разделения всего потока на однородные группы НЕ ВОЗМОЖНО.
Первый этап заканчивается получением функции прогноза принадлежности опыта
(пациента) к той или иной однородной группе
ВТОРОЙ
ЭТАП ПРОГНОЗА – и
только после выявления однородных групп можно получить полную картину
эффективности параметров процесса и параметров воздействия на результат этого
процесса (на перечень критериев). При этом и внутри однородного процесса
требуется также разбивка на более детальные группы (например: по временной
стадии течения однородного процесса) – т.к. для разных этапов процесса эффективность
средств воздействия может различаться.
На втором этапе прогноза – после выявления однородной группы опыта –
прогнозируется результат
процесса с целью оптимизации воздействия по комплексу критериев для опыта
(пациента) этой однородной группы.
Прогноз по критерию КАЧЕСТВО (0-1)
Медицина «Прогрессирование» VIDEO MEDICINE
|
Функция регрессионно-факторного анализа(РФА) |
Соответствие расчетных и опытных значений |
Соответствие прогнозируемых значений по «схеме -1» |
|
|
|
|
|
функцию РФА параметров гемостаза в прогноз анкеты |
Авто-прогноз параметров гемостаза в анкете |
|
|
|
|
VIDEO |
Прогноз по критерию ЧИСЛО
Экономика «Стоимость» VIDEO ECONOMY
|
Функция регрессионно-факторного анализа(РФА) |
Соответствие расчетных и опытных значений |
Соответствие прогнозируемых значений по «схеме -1» |
||
|
|
|
|
||
|
VIDEO |
VIDEO |
VIDEO |
||
|
|
|
|
||
|
|
|
|
||
|
VIDEO |
VIDEO |
|
||
Когда делается
прогноз по критерию «КАЧЕСТВО» - в качестве результата получается аналоговый
результат с вероятностью состояния – то есть переходим к более точной
диагностике качественного состояния. В области медицины такой прогноз позволяет
более дифференцированный результат диагностики и более точно подобрать лечение.
Прогнозы по критерию «ЧИСЛО» более точны и имеют меньшую ошибку адекватности
реальной зависимости по критерию Фишера.
Для служебного пользования МЗ РФ
(матричную часть расчётов в интернете не размещать)
МАТЕМАТИЧЕСКИЙ АППАРАТ
|
РЕГРЕССИОННЫЙ АНАЛИЗ (для числовых параметров)
- работа с числовой составляющей любой базы данных. В случае, когда мы не сами выбираем экспериментальные точки K(1),K(2), ... ,K(N) и они представляют собой результаты пассивного наблюдения, применяется метод минимизации невязок (классический метод наименьших квадратов).
ФАКТОРНЫЙ АНАЛИЗ (для качественных параметров – факторов)
- работа с качественной составляющей любой базы данных. В факторном анализе принято решать задачу только для 3-х или 4-х ведущих факторов, что также ограничивает возможности и точность решения.
Если можно выбирать экспериментальные точки, то это делается так, чтобы матрица параметров К*К (К - матрица параметров) была диагональной. Весовые коэффициенты в этом случае будут вычисляться независимо друг от друга, такое планирование называется ортогональным и является основой факторного анализа.
Один из основных путей получения ортогонального плана является построение полного факторного эксперимента. Главный принцип построения полного факторного эксперимента состоит в том, что каждый фактор варьируется на двух уровнях, т.е. может принимать всего два значения К(i)max и К(i)min при этом количество экспериментальных точек выбирается таким образом чтобы были просмотрены все возможные сочетания уровней факторов. В такой схеме числовые параметры кодируются как факторы через преобразование вида:

В силу известной ограниченности двузначных характеристик, малой чувствительности к взаимосвязям между параметрами, не говоря об отсутствии возможности в реальной практической работе ставить полные факторные эксперименты, имеет смысл ограничиться этой информацией по классической постановке факторного эксперимента. Кроме того, практика показывает, что предполагаемое постоянство весовых коэффициентов, достигнутое по двузначности характеристик, и их независимость друг от друга не определяют корректность решения практических задач.
Основной и фатальный недостаток этих двух методов - невозможность работать со всем качественно числовым набором информации в единой математической схеме. Вследствие этой причины эти методы не нашли широкого применения в науке и практике, поскольку затраты на математику не оправдывают получение однобоких результатов.
В системе ФАКТОР разработан новый математический механизм РЕГРЕССИОННО-ФАКТОРНОГО АНАЛИЗА, который позволяет анализировать всю имеющуюся информацию в единой математической схеме без ограничений на состав данных. Этот механизм позволяет работать с любыми процессами в любых вариантах исследований.
РЕГРЕССИОННО
– ФАКТОРНЫЙ АНАЛИЗ СИСТЕМЫ ФАКТОР
(для числовых и качественных параметров е ЕДИНОЙ математической схеме)
- математический инструмент для анализа системных процессов. В отличие от регрессионного и факторного анализа он работает со всем объемом информации (и качественной и числовой) в единой схеме. Решение, полученное по всей информации в единой схеме, является исчерпывающим для данного набора данных системного процесса и может быть использовано для оптимизации и индивидуального прогнозирования.
ò Суть решения РЕГРЕССИОННО-ФАКТОРНОГО анализа (как в регрессионном и факторном анализе) является весовая функция влияния факторов на результат процесса, полученная в результате решения системы уравнений. Эта функция имеет аналогичный физический смысл, но является всеобъемлющей и окончательной, т.к. охватывает весь объем информации в единой математической схеме. С приемами и методами решения систем уравнений можно ознакомиться в математической литературе в разделах посвященных регрессионному анализу. В системе ФАКТОР такое решение организовано с использованием алгебры матриц и специальным механизмом согласования качественной и числовой составляющих информации.
Краткая схема математического аппарата аналитического комплекса PLANETA (ФАКТОР-ПРОГНОЗ)
(приводится для общего представления)
Система ФАКТОР предназначена для анализа системных процессов с использованием всего имеющегося объема информации (количественного и качественного состава) в единой схеме.
Система ФАКТОР обеспечивает решение практических задач оценки эффективности, точного прогнозирования и оптимального управления по весовым факторным функциям отклика любого порядка.
Использование усовершенствованного механизма регрессионно-фактороного анализа позволяет избежать недостатков классического факторного анализа при изучении динамики взаимовлияний параметров (факторов) со сложными взаимосвязями по всему объему информации в единой математической схеме.
РЕГРЕССИОННО-ФАКТОРНЫЙ АНАЛИЗ - анализ всего объема информации в единой схеме числовых и качественных показателей (факторов) в виде весовых функций n-го порядка.
В качестве основы для математического аппарата получения таких весовых функций представлен классический метод получения весовых функций - метод наименьших квадратов (минимизация невязок) с применением специального масштабирования по качественным и числовым показателям. Такой подход позволил объединить всю необходимую для анализа информацию (и качественную, и числовую) в единую схему.
Суть метода рассматривается для случая, когда функция отклика ищется в виде
полинома первой степени ( система ФАКТОР позволяет получать и работать с
весовыми функциями отклика в виде полиномов любой степени ).
![]()
Функцию отклика называют уравнением регрессии. Результаты опытов используются
для нахождения неизвестных коэффициентов:
B0, B1, B2, ... ,Ba - весовые коэффициенты регрессии
Число опытов берется больше числа неизвестных коэффициентов N ³ a или равным ему.
xi - НЕВЯЗКА - разница между экспериментальным и опытным значениями X (критерия).
Требование
минимизации невязок записывается следующим образом:

Минимум функции (если он существует) достигается при равенстве нулю частных производных по всем неизвестным.
|
|
|
|
После дифференцирования получаем систему нормальных уравнений относительно неизвестных B0, B1, B2, ... , Ba :

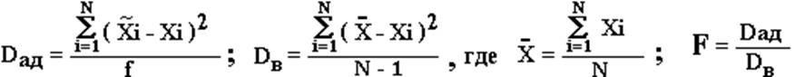
Точность полученной регрессионно-факторной весовой функции реальной зависимости определяется по F- критерию Фишера, который довольно прост для понимания. В найденную регрессионно-факторную функцию подставляются опытные значения параметров по которым она была рассчитана и сравниваются дисперсии отклонения рассчитанного по функции и опытного значения параметра, принятого за критерий, в виде соотношения F/Fкр
Отклонение реальной зависимости от полученной функции используется остаточная дисперсия (дисперсия адекватности):
|
|
Dад - дисперсия адекватности, для Dад
f = N - ( a + 1) f - число
степеней свободы a -
количество факторов
Dв - дисперсия воспроизводимости ( характеризует разброс
значений по опытам )
Xi - значение критерия вычисленное по функции РФА для
значений факторов в i-м опыте;
- значение критерия непосредственно в i-м
опыте;
N - число опытов.
После нахождения значения критерия F его сравнивают с критическим
значением найденным по таблице учетом числа степеней свободы. При соблюдении
условия F < F
критическое
функция считается
адекватной реальной зависимости.